I have been working on energy signature models for heat load assessment in buildings over the last couple of years. All this was initiated back in 2017, where Beñat Arregi and myself published a quite basic assessment on tertiary buildings.
This progressed in a relevant way throughout the RELaTED project, and our collaboration with Mikel Lumbreras, that resulted in very interesting works on segmented energy signatures and ways to clusterize heat load patterns among many other interesting topics.
After several years working on this topic, I felt the need to structure my knowledge and put it in a code repository. And here it is. I have created a Github repository where my (most basic knowledge) on this topic is presented.
An R code (actually R markdown, with many comments) is available together with an html file with all the graphic and numeric output and comments on my interpretations of the data.
From a scientific perspective, it is just barely an exploratory analysis, but gives many insights regarding daily, weekly and seasonal patterns.

Also, a model-based outlier detection is performed. Here, outliers are identified based on the residuals of a segmented energy signature model. I find this a very interesting approach, as it allows to use the same model for everything:
- A model is developed.
- Residuals are observed. Outliers are spotted if the residuals are big (with regards to the standard deviation)
- For increased accuracy, the model can be re-trained once the outliers are removed.
In my case, the model is a time-of-the week segmented changepoint model, dependent on outdoor temperature and solar radiation. In the picture below, all the individual models for each of the times of the week is presented.

Data imputation is performed only for small gaps. These gaps may be original missing data or data removed in the outlier detection process. Here, again a quite simple method is performed through a weighted interpolation of the preceding and succeeding values in the time series, also considering the data for the same time-of-the-week on the previous and following weeks.
Actually, this is a naïve process, but it results in a process that works well for small gaps and does not impact in the long-term energy assessment.

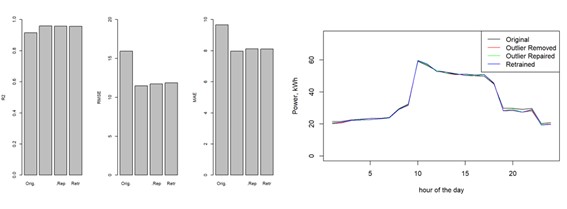
If the energy signature models are retrained, model quality metrics are improved from the original model as follows:
- When outliers are removed, performance metrics improve. But this is achieved for a lower number of valid observations.
- After data imputation and model retraining the overall model quality is the same as for the case after outlier removal.
This behavior shows that, in principle the selected interpolation method works fine for data imputation.

Maybe, this will be much more challenging for the greater gaps in week ~40 of the dataset.

I will potentially try to take care of this in one of my future works.
As time goes by, I realize that for everything I do/achieve, I add 2-3 additional things to my future works list.
If you find this interesting, you are welcome to go through the repository. The main works where I have rooted it are below, but you will find a longer reference list in the readme file.
References to the github repository and relevant works:
- Roberto Garay, (Building) Heat Load Characterisation, Github, 2023, https://github.com/robgaray/Building_Heat_Load_Characterisation, https://doi.org/10.5281/zenodo.7692351
- Beñat Arregi, Roberto Garay, Regression analysis of the energy consumption of tertiary buildings, CISBAT 2017, Lausanne, Switzerland. Energy Procedia, Volume 122, 2017, Pages 9-14, ISSN 1876-6102, https://doi.org/10.1016/j.egypro.2017.07.290
- Mikel Lumbreras, Roberto Garay-Martinez, Beñat Arregi, Koldobika Martin-Escudero, Gonzalo Diarce, Margus Raud, Indrek Hagu, Data driven model for heat load prediction in buildings connected to District Heating by using smart heat meters, Energy, Volume 239, Part D, 2022, ISSN 0360-5442, https://doi.org/10.1016/j.energy.2021.122318
- Mikel Lumbreras, Gonzalo Diarce, Koldobika Martin, Roberto Garay-Martinez, Beñat Arregi, Unsupervised recognition and prediction of daily patterns in heating loads in buildings, Journal of Building Engineering, Volume 65, 2023, 105732, https://doi.org/10.1016/j.jobe.2022.105732